
产品分类
更新时间:2024-12-04
浏览次数:850胡冠楠
开云官方端网站登录入口电气股份有限公司 上海嘉定
【摘要】剩余电流动作保护器在不同的接地系统中有其适用性和严格的接线方式,错误地选用剩余电流动作保护器或不规范地接线,会使剩余电流动作保护器误动或拒动,甚至引起人身触电和电气火灾事故。从剩余电流动作保护器工作原理出发,着重于用电设备的电流矢量分析与计算,阐述剩余电流动作保护器在低压配电接地系统中的应用特性,定量地分析接地系统类型对剩余电流动作保护器工作的影响。电流矢量的分析方法为剩余电流动作保护器的应用提供理论依据。
【关键词】剩余电流动作保护器;剩余电流互感器;电流矢量;接地系统
0引言
GB/T 6829—2017定义剩余电流为流过剩余电流保护电器主回路的电流瞬时值的矢量和(用有效值表示)[1]。剩余电流动作保护器(residual currentoperated protective devices,RCD)在低压供电系统中对人身触电和漏电火灾等事故起到了有效的防护作用,在各类不同接地制式的低压电网系统中得到广泛应用。
近年来,随着经济的迅猛发展,各种电气设备在生产和生活各个领域中的应用越来越广泛,人们与电接触的机会越来越多,触电的可能性越来越大,用电设备导致人员触电伤亡的事件时有发生。为了人身和设备安全,对RCD的使用要求越来越严格。GB/T 16895.1—2008规定了各类接地制式的低压电网系统[2],各类接地系统的特点和RCD的工作原理限制了RCD在一些接地系统中的应用,且要求其接线方式有严格的规范性。
1 RCD的基本工作原理
RCD一般由剩余电流检测模块和断路器组成,断路器起接通、承载和分断电路的作用,剩余电流检测模块一般由剩余电流互感器、信号放大器、信号判别元件、脱扣执行元件组成。负载线路接入RCD后即穿过了剩余电流互感器,形成一次绕组;剩余电流互感器自带的线圈形成二次绕组。正常工作时,线路中剩余电流为零,即穿过剩余电流互感器的所有线路电流矢量和为零[3-7],有
式中,Iu、Iv、Iw、In、为各相电流矢量。因此,在剩余电流互感器铁心中产生的磁通矢量和同样为零,故不会在二次绕组中感应出电流,信号判别元件判断线路中没有剩余电流,RCD不会动作;当发生故障使线路中产生正弦或脉动直流剩余电流时,即I_x0005_Δ≠0,在剩余电流互感器铁心中产生的磁通矢量和不为零,此时会在二次绕组感应出电流。当剩余电流在检测范围内时,磁心工作在线性区,二次侧感应电流与剩余电流大小成正比,该电流信号经过信号放大器后,在判别元件中与设定的剩余电流动作标准值对比,当检测到的剩余电流值超过设定值时,判别元件向执行元件发出信号,执行元件驱动断路器动作,切断电源,从而起到漏电保护的作用。
由此可见,剩余电流互感器是整个RCD的核心部件,RCD能否起到漏电保护作用,取决于剩余电流互感器是否正常工作[8-9]。当线路中电流为正弦型或脉动直流型、剩余电流互感器磁心未饱和且工作在线性区时,RCD动作与否取决于穿过剩余电流互感器的所有线路电流矢量和的大小。
2用电负载的电流矢量分析与计算
在RCD性能良好且不考虑电源类型及频率的情况下,RCD能否正常工作,取决于流经其进、出线端的电流矢量和,故用电负载的电流矢量分析对于RCD的应用至关重要[10]。低压供电网可提供单相和三相两种供电方式,其中三相供电时根据负载的分布和接线方式可分为星形联结和三角形联结。
2.1单相供电时负载的电流矢量
图1为单相供电负载接线示意图,无论Z为纯阻性负载还是复阻抗负载,流经负载Z的电流矢量如图1所示,根据KCL定律可得
式中,Il、In分别为负载的相线与中性线电流矢量。式(2)表明,无论负载Z的大小如何,在无电流泄漏的情况下,流经负载的电流矢量和始终为零。
2.2三相供电时负载的电流矢量
1)负载星形联结时的电流矢量
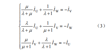
三相供电负载星形联结示意图如图2所示。负载星形联结时,如果三相负载对称平衡,可不需要中性线,如图2(a)所示。但是在图2(a)的情形下,存在负载异常导致三相负载不平衡的情况,此时会产生中性点漂移。图2(a)中,设Z2 1=λZ,Z3 1=μZ,分别取a、b、c节点为参考对象,根据KCL定律和欧姆定律可得
式中:Iu、Iv、Iw为三相负载各相线电流矢量;λ为阻值Z2与Z1之比;μ为阻值Z3与Z1之比。解析式(3)得
特别地,当λ=μ=1时,三相负载对称平衡;当λ≠μ时,三相负载不平衡,中性点发生漂移。结合式(3)、式(4)可知,无论三相负载平衡与否,式(4)总是成立,表明三相负载星形联结不带中性线时,在无电流泄漏的情况下,各相的线电流矢量和始终为零。
2(b)中,中性点连接零线,构成中性线,此时相电压Up与线电压Ul有固定的关系,即Ul=3Up。线电压Ul取决于电源系统,电源系统稳定则线电压不会改变,故Up不因各相负载的阻值大小而改变。线电流与相电流大小相等,即Il p=I,若认为三相负载电流由各相线流入,由中性线流出,取中性点为参考对象,根据KCL定律可得
式中:Iu、Iv、Iw为三相负载各相线电流矢量;In为中性线电流矢量。由式(5)可知,三相负载星形联结带中性线时,在无电流泄漏的情况下,所有相线加中性线的电流矢量和始终为零。
2)负载三角形联结时的电流矢量
三相供电负载三角形联结示意图如图3所示。图3中负载为三角形联结,分别取三根相线与负载的连接点e、f、g作为参考对象,根据KCL定律可得
式中:
Iu、Iv、Iw为三相负载的线电流矢量;Iuv、Ivw、Iwu为流经三相负载Z1、Z2、Z3的相电流矢量。
结合式(6)、式(7)可知,无论三相负载Z1、Z2、Z3的阻值大小如何,式(7)总是成立,表明负载三角形联结时,在无电流泄漏的情况下,各相线电流矢量和始终为零,与各相负载的阻值大小无关,也与三相负载是否平衡无关。
3 RCD在接地系统中的应用
低压配电网的接地系统分为TT、TN、IT三种,其中TN系统又分为TN-C、TN-S、TN-C-S三种。每种接地系统有各自的特点,因RCD的工作原理,其工作状态与接地系统的类型和接线方式有关,若应用和接线方式有误,RCD会拒动或误动,从而引发安全事故[11-12]。
3.1 RCD在TT系统中的应用
RCD在TT系统中的应用示意图如图4所示。TT接地系统中,供电侧电源系统有一点直接接地,用电侧负载的外露可导电部分通过接地极接地。
安装RCD时,相线与中性线全部接入RCD,且中性线连接在有明确标识的中性极,如图4(a)中A所示,结合式(5),此时有
式中,I_x0005_Δ为穿过RCD的所有线路电流矢量和,也可称作剩余电流。若相线或中性线与负载的外露可导电部分因绝缘故障发生漏电,负载的外露可导电部分与大地之间就存在电压,进而负载的外露可导电部分通过接地线PE或人体(当负载的外露可导电部分接地不良而人体触摸到时)产生接地故障电流,也称泄漏电流或剩余电流。结合式(5),此时该电流为
剩余电流的大小视绝缘故障的程度而定,当I_x0005_Δ达到或超过RCD额定值时,RCD会动作切断电源,保护设备和人身安全。还有一种情况如图4(a)中B所示,负载中性线未接入RCD,接地线PE无电流通过或无人体触碰负载的外露可导电部分而触电,此时有
式(10)表明,仅当三相负载对称平衡时,有IΔ_x0005_=-In=0,RCD不会动作;一旦负载不平衡,则有IΔ=-In≠0。若|IΔ|比较大,则RCD立即动作。现实中,当采用三相四线制供电时,众多因素会导致负载无法对称平衡,进而无法保证不平衡电流的大小,RCD会经常误动作而断电,影响负载正常工作。4(b)中,负载无中性线,接地线PE无电流通过或无人体触碰负载的外露可导电部分而触电,参考式(4)、式(7),所有相线电流矢量和恒等于零,RCD正常工作;若接地线PE有电流通过或人体触碰负载的外露可导电部分而触电,则有
|IΔ|达到或超过RCD的额定值时,RCD动作切断电源。式(11)表明,TT接地系统中采用三相三线制供电时可选用不带中性极的RCD。
3.2 RCD在TN系统中的应用
TN接地系统有TN-C、TN-S、TN-C-S三种,这三种接地系统的本质是一样的,即供电侧电源系统中性点接地,用电侧负载的外露可导电部分接中性线,接地线PE与中性线N在电气上相连。RCD在所有TN接地系统中的应用原理是一样的,为减少篇幅,此处以TN-C接地系统为例进行分析说明。RCD在TN系统中的应用示意图如图5所示。
图5中负载带中性线时,相线与中性线要全部接入RCD,且中性线连接在有明确标识的中性极。正常情况下,如图5中C所示,接地线PE无电流通过或无人体触碰负载的外露可导电部分而触电,穿过RCD的所有线路电流矢量和为零,参考式(5)、式(8),RCD正常工作;异常情况下,接地线PE有电流通过或负载的外露可导电部分通过人体产生接地故障电流,参考式(9),|IΔ|达到或超过RCD的额定值时,RCD动作切断电源。但是,若错误地将接地线PE与负载中性线一起接入RCD,如图5中D所示,则有
式中,IPE为接地线PE中的电流矢量。由式(12)可知,当接地线PE有电流通过时,RCD不会动作;仅当人体触碰到负载的外露可导电部分而产生接地故障电流且该电流大小达到或超过RCD的额定值时,RCD才会动作,这将给用电负载造成极大的安全隐患。图5中负载不带中性线时,正常情况下,如图5中E所示,参考式(4)、式(7),所有相线电流矢量和恒等于零,RCD正常工作;异常情况下,参考式(11),I_x0005_Δ达到或超过RCD的额定值时,RCD动作切断电源。TN接地系统中,用电负载不带中性线时可选用不带中性极的RCD。但是,如果选用了带中性极的RCD,并且将接地线PE接入了RCD的中性极,如图5中F所示,则有
式(13)表明,无论接地线PE中有无电流通过,始终有I_x0005_Δ=0,RCD不会动作;仅当人体触碰到负载的外露可导电部分而产生接地故障电流且该电流大小达到或超过RCD额定值时,RCD才会动作,这种情况也会对用电负载造成极大的安全隐患。
3.3 RCD在IT系统中的应用
RCD在IT系统中的应用示意图如图6所示。
IT接地系统中,供电侧电源系统所有带电部分不接地或有一点通过高阻抗接地,用电侧负载的外露可导电部分接地。IT接地系统是三相三线制供电,假如选用不带中性极的RCD,结合式(4)、式(7),此时有
因供电侧电源系统与大地隔离,负载的外露可导电部分对地电压很低,接地线PE对大地、负载的外露可导电部分经人体对大地很难有电流产生,由式(14)可知,流过RCD的电流矢量和恒为零,RCD不会动作,不能起到漏电保护的作用,故RCD在IT接地系统中不适用。
4开云官方端网站登录入口ASJ系列产品介绍
开云官方端网站登录入口ASJ系列剩余电流动作继电器和多回路剩余电流监测仪可与低压断路器或低压接触器等组成组合式剩余电流保护装置,主要适用于交流50Hz,额定电压400V及以下的TT和TN系统配电线路,用来对电气线路进行接地故障保护,防止接地故障电流引起的设备损坏和电气火灾事故,也可用来对人身触电危险提供间接接触保护。


ASJ10/20系列剩余电流动作继电器

ASJ60系列剩余电流监测仪
4.1功能介绍
ASJ10/20系列剩余电流动作继电器具有以下功能:A型或者AC型剩余电流测量,剩余电流越限报警指示,额定剩余动作电流可设定,极限不驱动时间可设定,两组继电器输出,具有就地,远程“测试"、“复位"功能;
ASJ60系列剩余电流监测仪具有以下功能:16路剩余电流监测,1路预警继电器输出,16路报警继电器输出,2路DI输入,自动重合闸功能,远程通讯功能,远程分合闸功能。
4.2技术指标
ASJ10/20系列剩余电流动作继电器技术指标
项目 | 指标 | ||||
AC型 | A型 | ||||
辅助电源 | 电压 | AC110/220V(±10%) | AC/DC85~270V | ||
功耗 | <5W | <5W | |||
输入 | 额定剩余动作 电流I△n | 0.03、0.1、0.3、0.5(A) | 0.03、0.05、0.1、0.3、0.5、1、3、5、10、30(A) | ||
极限不驱动时间△t | 0.1、0.5(s) | 0、0.06、0.1、0.2、0.3、0.5、0.8、1、4、10(s) | |||
额定剩余不动作 电流I△no | 50%I△n | 50%I△n | |||
动作特性 | AC正弦交流电流 | AC正弦交流电流、 脉动直流电流 | |||
频率 | 50Hz±5Hz | 50Hz±5Hz | |||
动作误差 | -20% ~ -10%I△n | -20% ~ -10%I△n | |||
输出 | 输出方式 | 一组常开、一组转换 | 一组常闭或常开、一组转换 | ||
触点容量 | 5A 250VAC 5A 30VDC | AL1:8A 250VAC; 5A 30VDC AL2:6A 250VAC; 5A 30VDC | |||
复位方式 | 就地、远程 | 就地、远程、自动 | |||
环境 | 工作温度 | 运行温度:-20℃ ~ +55℃,存储温度:-30℃ ~ +70℃ | |||
工作湿度 | ≤95%RH,不结露,无腐蚀性气体场所 | ||||
海拔高度 | ≤2000m | ||||
污染等级 | 3级 | ||||
安装类别 | Ⅲ类 | ||||
ASJ60系列剩余电流监测仪技术指标
项目 | 指标 | |
电源 | 电压范围 | AC/DC85V~265V |
*大功耗 | ≤10VA | |
输入 | *大测量支路数 | 16路 |
剩余电流测量范围 | 1mA~30A | |
额定剩余动作电流I△n | 1 mA ~30A连续可调 | |
动作特性 | AC正弦交流电流及脉动直流电流 | |
频率 | 50Hz±5Hz | |
动作延时 | 0~10s可设 | |
开关量 | 2路无源干接点输入 | |
输出 | 输出方式 | 1路水浸报警继电器(常开) 16路剩余电流报警继电器(常开) |
触点容量 | AC 250V/3A DC 30V/3A | |
重合闸 | 次数 | 0~99连续可设 |
间隔时间 | 0~999秒连续可设 | |
通讯 | 方式1 | RS485通讯,Modbus-RTU协议 |
方式2(可选) | 4G无线通讯 | |
环境要求 | 温度 | 工作温度:-10℃~55℃,存储温度:-30℃~70℃ |
湿度 | ≤95%,不结露 | |
海拔 | ≤2500m | |
平均工作时间 | ≥50000小时 | |
4.3选用说明
剩余电流动作继电器在应用时应注意低压系统的接线型式。
系统形式 | 系统接线 | 说明 |
TT系统 |
| 采用ASJ。因为当发生单相接地故障时,故障电流很小,且较难估计,达不到开关的动作电流,外壳上将出现危险电压。 |
TN-S系统 |
| 可采用ASJ。更快速灵敏切断故障,以提高安全可靠性,此时PE线不得穿过互感器,N线穿互感器,且不得重复接地。 |
其余接线型式需要改造成以上两种型式使用,防止出线误动作或者不动作的情况。剩余电流互感器的选择应根据主回路的额定电流为参考选择,
型号 | 孔径 | 主回路额定电流 | 变比 |
AKH-0.66L45 | 45mm | 80A | 1A:1mA |
AKH-0.66L80 | 80mm | 250A | 1A:1mA |
AKH-0.66L100 | 100mm | 400A | 1A:1mA |
AKH-0.66L150 | 150mm | 630A | 1A:1mA |
AKH-0.66L200 | 200mm | 1000A | 1A:1mA |
AKH-0.66L-260*100II | 265*104mm | 1000A | 1A:1mA |
实际应如图所示,互感器安装在主回路或者支路上,通过测量剩余电流判断是否驱动断路器动作。
ASJ10/20剩余电流继电器典型应用
ASJ60剩余电流监测仪典型应用
4.4注意事项
当采用剩余电流动作保护器(RCD)作为电击防护附加防护措施时,应符合下列规定:
· 额定剩余电流动作值不应大于30mA;
· 额定电流不超过32A的下列回路应装设剩余电流动作保护器(RCD):
· 供一般人员使用的电源插座回路;
· 室内移动电气设备;
· 人员可触及的室外电气设备。
· 剩余电流动作保护器(RCD)不应作为保护措施;
· 采用剩余电流动作保护器(RCD)时应装设保护接地导体(PE)。
5结论
RCD是一种非常重要的用电保护电器,广泛应用于电网、工控箱、电气设备控制系统等场所,保护人身安全和设备安全。本文基于用电设备的电流矢量计算,阐述了RCD在交流低压配电系统中的应用特性,定性定量地分析了供电方式(单相、三相三线、三相四线)、负载接线方式(三角形联结、星形联结带中性线、星形联结不带中性线)、接地系统类型(TT系统、TN系统、IT系统)对RCD工作的影响。结合上述内容可知,RCD适用于TT接地系统和TN接地系统,不适用于IT接地系统;但在TT系统和TN系统中,还需要根据供电方式和负载接线方式选择合适的RCD(带中性极、不带中性极),并进行正确接线,以起到漏电保护的作用。特别地,若图4(a)中B所示的情景忽略人体触碰负载的外露可导电部分触电(禁止非相关人员靠近),根据预期的不平衡电流选择合适额定值的RCD,参考式(10),可以用RCD作三相不平衡保护。另外,根据电流矢量的分析方法,还可以排查因RCD导致的电气故障,以快速恢复正常用电。
随着电网的发展及用电设备的更新换代,只具备剩余电流保护功能的保护器已经不能满足需求,现通常将过电流保护、剩余电流保护、隔离等功能融为一体,如带剩余电流动作保护的塑壳断路器(molded case circuit breaker,MCCB)、带过电流保护的剩余电流动作断路器(residual current operatedcircuit-breakers with integral overcurrent protection,RCBO)和不带过电流保护的剩余电流动作断路器(residual current operated circuit-breakers withoutintegral overcurrent protection,RCCB)等,这些用电保护电器在剩余电流动作保护模块上与文中的RCD原理是一致的。
参考文献
[1]剩余电流动作保护电器(RCD)的一般要求:GB/T6829—2017[S].北京:中国标准出版社,2018.
[2]低压电气装置第1部分:基本原则、一般特性评估和定义:GB/T 16895.1—2008[S].北京:中国标准出版社,2009.
[3]杨勇.漏电断路器误动作故障分析及解决措施[J].电气开关,2018,56(4):94-96.
[4]魏 波,邓谊爽,普朝鸿,王凌峰,文小川.剩余电流动作保护器在接地系统中的应用分析.
[5]开云官方端网站登录入口企业微电网设计与应用手册.2022.06版
上一篇:剩余电流动作继电器的在低压配电系统中应用