
产品分类
更新时间:2024-06-18
浏览次数:822摘要:阐述电梯轿厢应用中的智能照明控制系统的设计,工作流程与优势,包括系统模块、输入模块、输出模块,电梯轿厢中的智能照明控制系统能够提升照明系统的稳定性。
关键词:智能照明,控制系统,电梯轿厢。
0、引言
电梯轿厢功能性和实用性的提升,有助于提高大众的生活水平,并获得一定的幸福感。为促使电梯轿厢的创新与发展,能够符合时代发展的规律和要求,可以将智能照明控制系统应用在电梯轿厢的设计和实际运用中,对电梯轿厢的可持续发展具有积极的促进作用。智能照明控制系统,是基于现代化技术,而创新与发展出的新的智能系统。应用先进的电磁调压技术、电子感应技术等,实现对供电情况的实施监控与追踪,通过自动化的平滑调整,实现对电路中的电压和电流幅度进行控制,从而优化和改良在照明系统中,处于不平衡状态的额外能源消耗,提高系统中的电功率因素,降低灯具与线路在运行工作时的温度,实现优化和改良供电情况的目标。将智能照明控制系统应用在电梯轿厢之中,可实现对轿厢内部灯具使用周期的延长,并减少维护轿厢照明的成本支出,从而促使电梯轿厢内部照明实现持续、稳定、连续的运行工作状态。
1、电梯轿厢应用中的智能照明控制系统
电梯轿厢的设计、安装与维护管理等工作,都需要符合建筑部门和消防部门的规定要求,应严格遵守《GB7588-2003,电梯制造与安装安全规范》等有关规定。在智能照明控制系统的设计方面,需要对元器件、使用环境、使用时长等相关因素,进行综合考虑,也要将大众的乘坐需求一并纳入考虑范围。对照明的色调调整、安装位置,以及明暗程度等,进行科学合理的优化调整。另外,相较于以往的电梯轿厢,应在节能环保方面加大研究力度,进一步保证能源消耗不被浪费和损失。
2、系统的结构设计
以往的电梯轿厢照明系统,通常划分为正常照明与应急照明两部分,主要应用的传统光源是荧光灯与石英射灯。结合两种不同类型的灯具材料特点,对照明情况进行必要的优化和改良,相较于智能照明控制系统而言,比较困难,也正是因为调整难度大,以往的电梯轿厢多是24h持续运行工作的模式,既降低了灯具的使用周期,也造成了能源消耗的浪费,不利于生态环境保护。电梯轿厢的智能照明控制系统,实现了正常照明与应急照明的结合,将以往的传统光源,调整成为三组的LED灯组,在三组中,有一组被作为应急照明进行长期的点亮,来确保大众乘坐电梯时能够看清电梯轿厢内部的环境,另两组可在乘客进入电梯轿厢时,实现依次的点亮,并可在乘客离开电梯轿厢后,再依次关闭。利用这种智能照明控制系统,可实现依据电梯轿厢运行工作状态,以及电梯轿厢内部乘客人员状态,进行实时的必要调整,有助于延长LED灯组使用周期,同时降低了一部分能源消耗。电梯轿厢智能照明控制系统包含系统模块、输入模块和输出模块三个部分,结构如图1所示。

图1 电梯轿厢智能照明控制系统结构
(1)系统模块。系统模块,是智能照明控制系统的核心模块,对控制系统的正常运行起着决定性的作用。系统模块主要包含主机、协议接口、系统软件等。主要作用是提供照明所需的运行工作电源支持,以及各系统之间的连接稳定,并按照系统软件的指令对控制系统进行管理和控制。照明工作电源利用的是稳压电源,需要把交流电转换成为直流电源后,再用在供应LED灯组和应急储备的支持和保障方面。协议接口,应在规定的物理层面通信、语法层和语义层的基础之上,还需支持信息的交换通信。
(2)输入模块。输入模块,是对智能照明控制系统进行指令输入的模块,包含控制系统的时间设定模式、能够感应到电梯轿厢内部环境的传感器、红外线类型的接收器、智能开关等。在应用PLC技术装置对电梯轿厢内部的智能照明控制系统实施控制时,通常利用红外线类型的接收器来实现对信号的输入,利用PLC技术装置对智能开关实现控制。在信号或智能开关的被准确接收后,即可判断电梯轿厢内部有无乘客进入,并进行信号的转换,转换成智能照明控制系统能够识别的指令,来实现后续的控制和信号输出。时间设定模式主要用来设定LED灯组的实际照明时间。
(3)输出模块。输出模块,是所有指令的执行模块。主要作用是接收由控制系统传输过来的信号,并依据时间设定模式,结合继电器驱动装置的功能,来实现对LED灯组的照明控制,执行点亮或熄灭相应的LED灯组。在继电器的触电闭合时,LED灯组被点亮,当继电器的触电分离时,LED灯组熄灭。同时可利用照明亮度调节器,对LED灯组的亮度进行实时的调节,来适应不同的外界环境变化,提升电梯轿厢智能照明控制系统的体验感。
3、智能照明控制系统的工作流程与优势
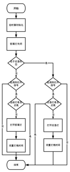
在电梯轿厢中应用智能照明控制系统,具有以往传统照明不具备的优势,可实现对照明灯光的灵活控制,照明灯光的主要应用场景有正常运行状态和应急运行状态两种,智能照明控制系统的判断流程如图2所示。

图2 控制系统运行流程
当电梯轿厢处在正常运行状态时,需要提前预判电梯轿厢门的开关与电梯轿厢内部是否有乘客。若电梯轿厢门处于打开的状态,或是电梯轿厢内部有乘客存在并且电梯轿厢门处于关闭的状态时,则智能照明控制系统判断启用正常照明模式,电梯轿厢门打开,除应急灯组外,另外两组灯组的照明亮度逐渐由暗转为明亮,避免突然照射,对乘客造成伤害,降低乘客的体验感,同时LED灯组按照既定的时间设定模式进行相应的点亮或是熄灭,也有助于保护灯具安全,可实现灯具使用周期的有效延长。当电梯轿厢处在正常运行状态时,但电梯轿厢门处于紧闭状态,或是电梯轿厢内部没有乘客存在时,智能照明控制系统可输出指令,使照明模式转为较节能的模式,仅留一组LED灯组点亮,另外两组逐渐由明亮转为暗,直至W全熄灭。若是出现了突然停电的紧急情况,电梯轿厢的智能照明控制系统则及时转换成为应急照明的模式,若此刻电梯轿厢内部有乘客存在,则会相应延长应急照明运行的工作时间,并且可按照紧急情况下的乘客照明需求和心理状态,来适当调整照明的亮度,确保照明的充分足够,有助于提升乘客的安全系数;若发生突然停电的紧急情况时,电梯轿厢内部没有乘客存在。只需维持正常的节能照明模式即可。
4、应用场景

系统功能:
1、开关控制:对通道、走廊、公共区域、楼梯间、会议室按照单个照明回路、区域、楼层等实现对应照明的开关灯控制,监视受控回路的开关状态。
2、调光控制:满足区域照度和亮度调节要求,支持在通道、走廊、公共区域、楼梯间、会议室等场所监测照度或亮度,并根据需要自动/手动调节开灯数量和灯光亮度,充分利用自然光源,满足节约了能源,营造了舒适的生活工作环境。
3、场景控制:支持不同的场景模式控制,根据不同区域的功能需求,设定场景,完成相关照明灯具的控制组合,满足美化工作环境、提高舒适度需求。
4、照明回路电路监测:实时监视各照明支路/回路的运行电流、开关状态,并自动分析回路是否有故障状态并预警。
5、分区、总控:支持运行管理人员实时监视各区域、楼层、楼栋的照明状态,并根据需要进行分区、分层、分楼栋按需要分区控制、总控制。
6、实时报警:当发生模块离线、网关设备掉线或者状态反馈和下发控制命令不一致时会发生故障报警,并将故障报警信息记录并显示在界面中,提示内容为故障时间、模块位置、故障说明。
7、历史记录查询:查询任意时段内的事件记录,支持“当日"“最近7天"“自定义时段"方式查询历史事件。
5、现场图片


6、产品选型
外形 | 认证 | 名称 | 证书 | |
开关驱动器 |
| 无 | ASL220-S4/16智能照明开关驱动器 | 无 |
调光驱动器 |
| 无 | ASL220-SD2/16智能照明调光驱动器 | 无 |
智能面板 |
| 无 | ASL220-F3/6智能照明开关面板 | 无 |
二合一传感器 |
| 无 | ASL220-PM/T只能照明红外于照度二合一传感器 | 无 |
| 无 | ASL220-RM/T智能照明微波宇照度二合一传感器 | 无 | |
| 无 | ASL220-RP/T智能照明微动与照度二合一传感器 | 无 | |
户外照度传感器 |
| 无 | ASL220-L/O智能照明户外照度传感器 | 无 |
3.5寸智能触摸屏 |
| 无 | ASL220-TP-35智能照明触摸屏 | 无 |
IP协议转换器 |
| 无 | ASL200-485-IP智能照明IP协议转换器 | 无 |
辅助电源 |
| 无 | ASL200-P20智能照明辅助电源 | 无 |
7、结束语
电梯轿厢中应用智能照明控制系统来控制照明模式,具有广泛的建设和发展前景,应加强对这方面的研发和试验,进一步丰富智能照明控制系统的功能性和实用性,确保智能照明控制系统可以在电梯轿厢中发挥出全部的作用和价值。同时,事实证明电梯轿厢中的智能照明控制系统能够提升照明系统的稳定性,实现对电梯轿厢照明系统的科学管理和可持续发展目的,为电梯轿厢照明控制系统的设计与发展提供了更加明确的方向和更多的可能性。
【参考文献】
[1]马媛媛,智能照明控制系统在电梯轿厢中的应用。
[2]唐志强,刘钦亮,一款光照亮度可调的电梯轿厢照明设计[J],中国电梯,2021,32(14):48-51。
[3]刘尚伟,智能照明控制系统的应用现状及发展趋势[J],绿色环保建材,2019(09):238+241。
[4]开云官方端网站登录入口企业微电网设计与应用手册.2022.05版。
上一篇:电动机保护控制器在矿用配电上的应用探讨